Cosa succede quando somministriamo l’antibiotico tilosina ai nostri cani?
Uno studio del 2019 ha cercato di comprendere l’effetto della tilosina sul microbioma e su alcuni acidi biliari nel tempo.
Seppure il suo utilizzo sia sempre più controverso, questo antibiotico è comunemente somministrato ai cani per il trattamento della diarrea acuta o cronica.
Ma cos’è stato fatto?
– 16 cani clinicamente sani metà trattati con placebo e metà con tilosina;
– trattamento con tilosina (circa 17.5 mg/kg) PO q12h per 7 giorni;
–
analisi del 16S RNA, analisi degli acidi biliari fecali non coniugati,
verifica dello score fecale e dell’indice di disbiosi, a 0, 7 e 21 e 63
giorni.
Cos‘è emerso?
- Consistenza fecale: invariata in entrambe i gruppi durante la somministrazione.
- Indice di disbiosi: invariato per placebo, peggiorato per tilosina durante la somministrazione, non ritorna ancora alla normalità al giorno 63.
- Microbioma: nel gruppo placebo non sono stati osservati cambiamenti significativi,
mentre i campioni del giorno 7 di cani esposti a tilosina hanno mostrato una diminuzione della diversità batterica, caratterizzata da una diminuzione degli anaerobi Fusobacteriaceae e Veillonellaceae. Al giorno 63, i taxa batterici non erano significativamente differenti rispetto al giorno 0, ma l’entità del recupero della comunità microbica variava da individuo a individuo. - Acidi biliari non coniugati (UBA): Nel gruppo placebo, non sono stati osservati cambiamenti significativi. Nel gruppo con antibiotico invece le concentrazioni di UBA primari erano aumentate al giorno 21 e al giorno 63 rispetto al giorno 0.
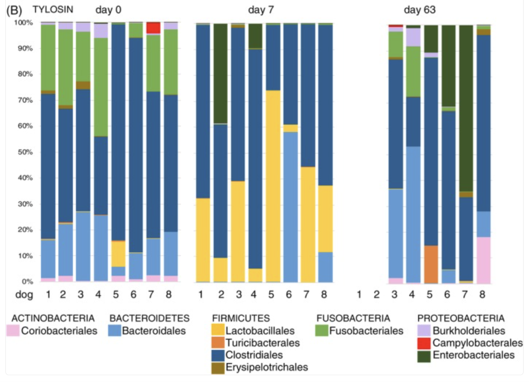
I cambiamenti indotti dalla tilosina sul microbioma


Abbondanze relative mediane dei principali ordini batterici sulla base di analisi di sequenziamento 16S di campioni fecali.
I phyla predominanti rappresentati sono in lettere maiuscole sopra i singoli ordini accanto al colore corrispondente.
A = placebo
B = tilosina
Manchester et al, 2020.
L’immagine rappresenta i profili del microbioma dei cani durante lo studio.
L’occhio percepisce subito i drastici cambiamenti della composizione relativa associati alla tilosina (B – day 7) e la variabilità alla fine del trattamento, a confronto con l’apparente stabilità del microbioma del placebo.
Gli
autori non si sbilanciano nel dare un significato alle variazioni dei
singoli taxa, ma osservano che le famiglie più suscettibili alla
tilosina sono anaerobe.
Conclusioni e importanza clinica
- La tilosina causa disbiosi del microbioma fecale in cani sani con corrispondenti variazioni degli UBA fecali, ma senza evidenti segni clinici.
- Il recupero del microbioma e del profilo degli acidi biliari al termine della somministrazione della tilosina non avviene secondo un percorso chiaro e prevedibile.
I risultati di questo lavoro aggiungono un elemento a favore della ricerca di soluzioni alternative all’uso della tilosina per il trattamento delle diarree.
Inoltre pone un dubbio sull’ipotesi che, in quel subset di cani che risolve la diarrea con la somministrazione della tilosina, il meccanismo di azione sia legato a un riequilibrio del microbioma disbiotico.
Infine si evidenza per la prima volta il collegamento tra tilosina e dismetabolismo degli acidi biliari primari fecali.
Vuoi saperne di più?
Puoi leggere l’articolo originale qui (Open access).
Referenze
Long‐term impact of tylosin on fecal microbiota and fecal bile acids of healthy dogs. A. C. Manchester et al.. J Vet Intern Med. 2019
Barbara Simionati
Laureata in biologia con Master in "Business and Management", ho lavorato per molti anni nell'ambito del sequenziamento del DNA e successivamente del microbioma. Ho co-fondato due spin-off dell'Università di Padova: BMR Genomics ed EuBiome. Attualmente sono amministratore di EuBiome e docente a contratto presso il Dipartimento di Scienze del Farmaco dell'Università di Padova.